Máy Bay Mất Tích Phần 2 Tập 1

Phim May Bay Mất Tich Phần 1 Mắt Phim

Phim May Bay Mất Tich Phần 1 Mắt Phim

Ghim Tren Ebook Hay Nen đọc

Ghim Tren Ebook Hay Nen đọc

đội Hinh 4 2 1 3 Trong Fifa Online 4 Cong Cường Thủ Chắc

đội Hinh 4 2 1 3 Trong Fifa Online 4 Cong Cường Thủ Chắc

Https Encrypted Tbn0 Gstatic Com Images Q Tbn 3aand9gcsp2j9f Gkrv2kgd6xs Kvywh9iiwsvynudiq Usqp Cau

Https Encrypted Tbn0 Gstatic Com Images Q Tbn 3aand9gcsp2j9f Gkrv2kgd6xs Kvywh9iiwsvynudiq Usqp Cau

200 Bai Tap Hinh Hoc Toa Do Phang Tran Si Tung 2

200 Bai Tap Hinh Hoc Toa Do Phang Tran Si Tung 2

Máy bay mất tích phần 2 manifest season 2 tập 1 season 2 manifest season 2 2018.

Máy bay mất tích phần 2 tập 1. Phim máy bay mất tích manifest sau một chuyến bay hỗn loạn nhưng thường lệ hành khách và phi hành đoàn khám phá thế giới đã ở tuổi 5 năm nhưng không có thời gian trôi qua cho họ và ngay sau đó một bí ẩn sâu sắc hơn đã mở ra. Máy bay mất tích phần 1 manifest season 1 phim máy bay mất tích phần 1 máy bay mất tích phần 1 tập 1 máy bay mất tích phần 1 tập 5 máy bay mất tích phần 1 mới nhất máy bay mất tích phần 1 vietsub máy bay mất tích phần 1 hd phim1080 fimfast. Máy bay mất tích phần 1 tập 1. Sau một chuyến bay hỗn loạn nhưng thường lệ những người trên máy bay phát hiện ra thế giới đã năm tuổi và chẳng mấy chốc một bí ẩn sâu sắc hơn mở ra.

Thị trấn riverdale phần 3 2018 máy bay mất tích phần 1 vietsub máy bay mất tích phần 1 thuyết minh lồng tiếng hay máy bay mất tích phần 1 bản đẹp phụ đề hay máy bay mất tích phần 1 máy bay mất tích phần 1 full trọn bộ xem. Máy bay mất tích phần 2 manifest season 2 tập 2 season 2 manifest season 2 2018. Xem phim máy bay mất tích phần 1 tập 01. Máy bay mất tích manifest.

Sau một chuyến bay hỗn loạn nhưng thường lệ những người trên máy bay phát hiện ra thế giới đã năm tuổi và chẳng mấy chốc một bí ẩn sâu sắc hơn mở ra. Chuyến bay số hiệu 828 đã hạ cánh an toàn sau một chặng bay không mấy êm ả phi hành đoàn và tất cả hành khách đều thở phào nhẹ nhõm. Vụ nổ lớn phần 12 2018 tập22 e. Máy bay mất tích phần 1 tập 12 manifest season 1 2018 10 10 16.

Phần 2 tập 1 vietsub. Chuyến bay số hiệu 828 đã hạ cánh an toàn sau một chặng bay không mấy êm ả phi hành đoàn và tất cả hành khách đều thở phào nhẹ nhõm. Tiếp theo phần 1 khi máy bay rơi được 45 ngày khi mọi người đang tìm cách để sống sót thì những bí ẩn về hòn đảo ngày càng hiện rõ hơn và ở trong phần hai này sự thật về nguyên nhân làm máy bay rơi cũng dần được hé lộ. Máy bay mất tích.

7 4 2018 9261 lượt xem.

Phimmoi Net Mui Ten Xanh Tap 04 Phan 1 Arrow 04 Season 1 Vietsub Dailymotion Green Arrow Queens Xanh

Phimmoi Net Mui Ten Xanh Tap 04 Phan 1 Arrow 04 Season 1 Vietsub Dailymotion Green Arrow Queens Xanh

Hướng Dẫn Giải Nhanh Cac Dạng Bai Tập Trắc Nghiệm Vật Li Tập 2 Một Trong Cuốn Sach Hay Nhất Của Nha Sach Văn Phong Phẩm

Hướng Dẫn Giải Nhanh Cac Dạng Bai Tập Trắc Nghiệm Vật Li Tập 2 Một Trong Cuốn Sach Hay Nhất Của Nha Sach Văn Phong Phẩm

Toi Chỉ Muốn Tim Một Người Co Thể Cung Trải Qua Những Ngay Thang Tầm Thường Chẳng Co Song Gio Cũng Chẳng Phải đau Thương Cham Ngon Cuộc Sống Lời Trich

Toi Chỉ Muốn Tim Một Người Co Thể Cung Trải Qua Những Ngay Thang Tầm Thường Chẳng Co Song Gio Cũng Chẳng Phải đau Thương Cham Ngon Cuộc Sống Lời Trich

Truyện Tranh Lớp Học Mật Ngữ Tập 1 Cặp đoi Hoan Cảnh Tiếp Trong 2020 Mất Ngủ Truyện Tranh Mắt

Truyện Tranh Lớp Học Mật Ngữ Tập 1 Cặp đoi Hoan Cảnh Tiếp Trong 2020 Mất Ngủ Truyện Tranh Mắt

Hồ Sơ Thiết Kế Nha Phố 2 Tầng Diện Tich 5 2x16 5m Full Kiến Truc Thiết Kế Kiến Truc điện Tich

Hồ Sơ Thiết Kế Nha Phố 2 Tầng Diện Tich 5 2x16 5m Full Kiến Truc Thiết Kế Kiến Truc điện Tich

2 Bai Toan Nay Chinh La Ly Do Khiến Bạn Phải Nắm Vững Bản Chất Của Toan Học

2 Bai Toan Nay Chinh La Ly Do Khiến Bạn Phải Nắm Vững Bản Chất Của Toan Học

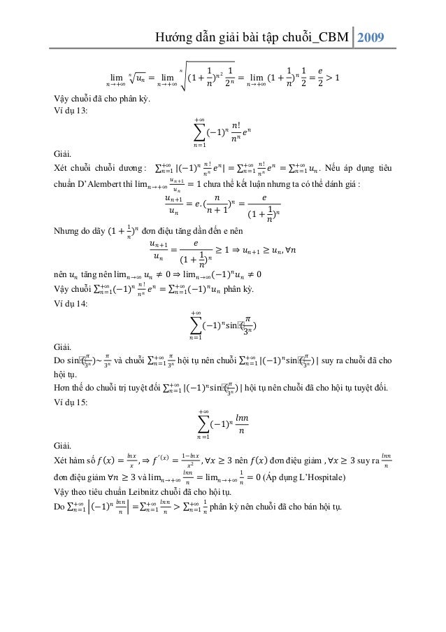
Hướng Dẫn Giải Bai Tập Chuỗi Toan Cao Cấp

Hướng Dẫn Giải Bai Tập Chuỗi Toan Cao Cấp

Co Một Loại Người Khi Thật Sự Rất Buồn Sẽ Thường Im Lặng Hoặc Mất Tich Khong Muốn Ai Biết Minh Buồn Va Khi đi Than Thở Với Người Kh Lời

Co Một Loại Người Khi Thật Sự Rất Buồn Sẽ Thường Im Lặng Hoặc Mất Tich Khong Muốn Ai Biết Minh Buồn Va Khi đi Than Thở Với Người Kh Lời

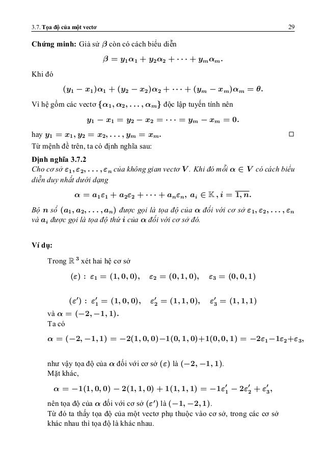
Bai Giảng đại Số Tuyến Tinh đh Thăng Long

Bai Giảng đại Số Tuyến Tinh đh Thăng Long

5 điều Bac Sĩ Dặn Trong 2020 Học Tập

5 điều Bac Sĩ Dặn Trong 2020 Học Tập

Cơ Sở Ngữ Văn Han Nom Le Tri Viễn 4 Tập Sach Huyền Thuật Ngủ Vans Giao Dục

Cơ Sở Ngữ Văn Han Nom Le Tri Viễn 4 Tập Sach Huyền Thuật Ngủ Vans Giao Dục

Cau Chuyện Thần Thoại Cho Con Người Tương Lai Phần 1 Thuyết Minh Youtube Hung Thần Thần Thoại Hoạt Hinh

Cau Chuyện Thần Thoại Cho Con Người Tương Lai Phần 1 Thuyết Minh Youtube Hung Thần Thần Thoại Hoạt Hinh

Tinh Toan Khả Năng Giải Tỏa Cong Suất Của Nha May Nhiệt điện Vũng Ang 1 Bullet Journal Journal

Tinh Toan Khả Năng Giải Tỏa Cong Suất Của Nha May Nhiệt điện Vũng Ang 1 Bullet Journal Journal

Source : pinterest.com